前言¶
本手册是知识图谱的用户操作手册,主要是为指导用户使用本产品而编写的。手册涵盖了本图谱的操作方法,帮助您在短时间内对图谱有一个概括的了解,能够亲自上手实践创建图谱,体验图谱的各项功能,体会到它所带来的方便与快捷。
华天知识图谱是一款可以通过 Web 访问的可视化图探索工具,用于与图数据库进行可视化交互。即使没有图数据操作经验,阅读以下手册,用户也可以快速成为图专家。
图与图论¶
简单来说,图论就是研究图的学问。图是基本研究对象,用于表示实体与实体之间的关系。
在数学的分支图论中,图(Graph)是基本研究对象。在中文中,强调为“拓扑图”、“网络图”等。这一名词最早由西尔维斯特在 1878 年提出。他是著名的英国数学家、牛津大学几何教授,用图来表示数学和化学分子结构之间的关系。
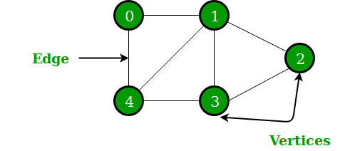
一张图由一些小圆点(称为顶点或节点,即 Vertex)和连接这些圆点的直线或曲线(称为边,即 Edge)组成。
属性图¶
从数学角度来说,图论是研究建模对象之间关系结构的学科。但是从工业界使用的角度,通常会对基础的图模型进行扩展,称为属性图模型。属性图通常由以下几部分组成:
- 节点:即对象或实体。
- 节点之间的关系:通常边是有方向或者无方向的,以表示两个实体之间有持续的关系。
- 此外,在节点和边上,还可以有属性(properties)。
在现实生活中,有很多属性图的例子。
在网络理论中,图可以用来做可视化的社会网络分析,研究社会实体之间的关系结构。例如企查查或者 BOSS 直聘这类的公司,用图来建模商业股权关系网络。这个网络中,点通常是一个自然人或者是一家企业,边通常是某自然人与某企业之间的股权关系。点上的属性可以是自然人姓名、年龄、身份证号等。边上的属性可以是投资金额、投资时间、董监高等职位关系。
知识图谱¶
知识图谱是结构化的语义知识库,用于迅速描述物理世界中的概念及其相互关系。知识图谱的基本单位是实体(Entity)-关系(Relationship)-实体(Entity)”构成的三元组。例如社交网络图谱里,我们既可以有“人”的实体,也可以包含“公司”实体。
本体¶
本体是某个领域中抽象概念的集合,能够描述某个范围内一切事物的共有特征以及事物间的关系。例如:船舶是一个本体,船舶下有供应船 、 维修船 、侦察船等具体对应的实体。
实体¶
实体是知识图谱三元组的元素之一,指某种具体的事物。如下图中军用 、 特种战斗舰船 、布雷舰艇、猎雷艇、扫雷舰艇均为实体。
关系¶
关系是知识图谱三元组的元素之一,指实体与实体之间的语义关系。比如上图中军用的船舶种类有特种战斗舰船,特种战斗舰船的细分船舶有布雷舰艇、猎雷艇和扫雷舰艇。
数据源¶
数据是知识图谱的基础。创建知识图谱之前,必须收集基础数据用来构建知识图谱。
信息抽取¶
信息抽取是从基础数据中抽取待创建图谱的实体、属性信息以及实体间的相互关系。目的是从原始数据(包括结构化数据或非结构化数据)中抽取结构化的信息。 在知识图谱服务中,需要通过输入实体类型、抽取函数及抽取前后的数据字段,或创建信息抽取模型来配置信息抽取。


